We’ve been made aware people are seeing advertising that you can get big refunds thanks to covid and you only have to pay them 25% of it as their fee. This is the Employee Retention Credit and very few employers qualify to get it. The scammers are going to want their 25% fee up front though… don’t get sucked in! You could be out 25% of the credit as well as have to pay the full amount back and be left holding the bag! We’ve had a bunch of inquiries just this morning about this. If you think you might qualify, contact a reputable preparer to check your eligibility.
https://www.irs.gov/newsroom/employers-warned-to-beware-of-third-parties-promoting-improper-employee-retention-credit-claims
We will be closed Friday July 22
Due to paving in the city of Jackson we will be closed on Friday July 22, 2022. We will resume normal business hours on Monday.
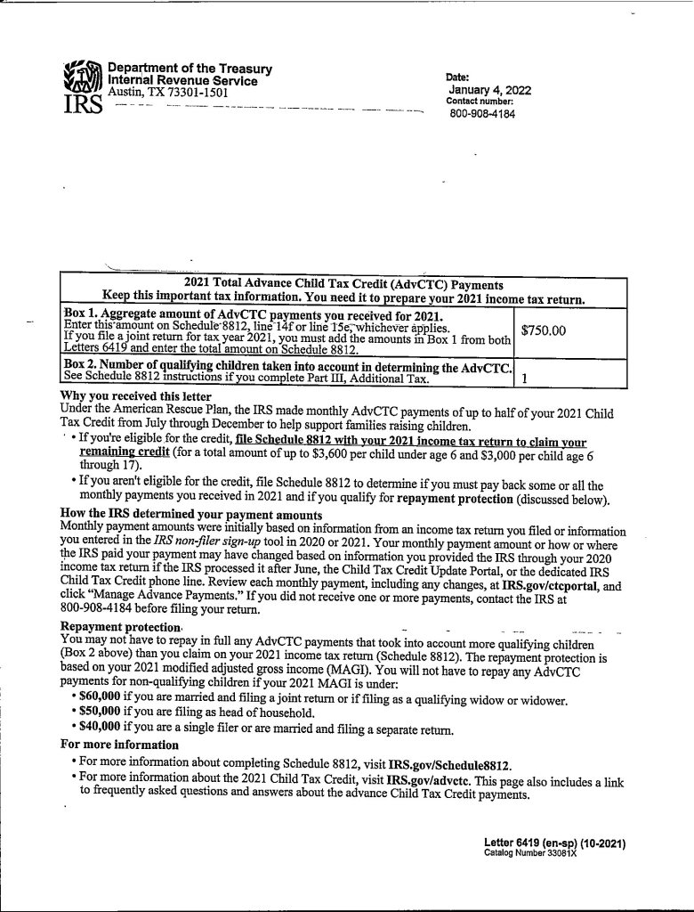
Important Letters Arriving from IRS
There are letters arriving from the IRS that are very important to the preparation of your tax return! If you received Advanced Child Tax Credit you will be receiving letter 6419 from the IRS detailing the amounts you received. Married couples will BOTH receive a letter. We must have these in order to do your tax return for 2021. DO NOT THROW THESE AWAY! Here is a sample of what the envelope and letters look like. We have blanked out the personal information.


2021 Personal Income Tax Questionnaire
While we had hoped to meet with all of you in person this year, due to the again worsening Covid-19 situation we’ll be asking everyone to drop off their information again this year. This is disappointing but we feel it is necessary. While we won’t be meeting in person some preparers will offer phone and/or video appointments if you wish. These will be set up at the time you drop off your information.
You’ll find below the 2021 Questionnaire. This is going to be a challenging tax season due to tax law changes and the new Jackson City Income Tax. This document is important to helping us make sure we get your taxes right. Thank you for helping us serve you better.
Advanced Child Tax Credit
Just a heads up…. today is the last day that you can unenroll from the the Advanced Child Tax Credit if you don’t want to receive it. You can do so at the link below.
https://www.irs.gov/credits-deductions/advance-child-tax-credit-payments-in-2021
46 years!
Today we celebrate 46 years of serving our customers. On this day in 1975 dad started preparing returns after purchasing the practice of Paul Kruger. Though the location and firm name has changed multiple times, we’ve always been grateful for our customers. Thank you for allowing us to serve you!
Unemployment fraud!
We’re getting lots of reports of incorrect 1099-Gs due to massive unemployment fraud. Make sure you report this to ODJFS here under Report Identity Theft! You don’t want to pay taxes on someone’s theft!
Don’t forget to fill out your 2020 Income Tax Questionnaire before you drop off to avoid the dreaded clipboard!
W2s, 1099s due January 31st!
W2s and 1099s are due to be filed by January 31st. If you haven’t submitted your information yet now is the time!
W-2s, W-3s, 1099-NEC, Information Returns Due Date: January 31 – YouTube
Don’t forget if you want to fill out your 2020 Questionnaire ahead of time it can be found here:
https://www.dropbox.com/s/0blgmzb1w362hly/AMA%201040%20Question20.pdf?dl=1
1040 Client Questionnaire Available
The client questionnaire for 2020 is now available. Save yourself time and hassle when dropping off your return by filling the form out and printing before you arrive. It’s available here:
https://www.dropbox.com/s/0blgmzb1w362hly/AMA%201040%20Question20.pdf?dl=1
